聊城东昌完全中学网站(聊城东昌中学本校搬迁)

时间:2022-04-02 浏览:1933 分类:聊城SEO推广优化

按照政策规定,2018年,聊城市所有报名人数超过招生计划的义务教育民办学校,必须在属地县级教育行政部门的统一组织和领导下,采取随机派位60%的方式进行招生,其余40%由民办学校在不违反上级招生政策的前提下自主招生录取。

7月12日,聊城市城区民办学校“小升初”随机派位工作开始进行。随机派位的第一天,东昌中学完成了随机派位录取,且录取名单第一时间在网上进行了公布。

聊城东昌完全中学网站(聊城东昌中学本校搬迁)

公证处工作人员向现场人员展示抽到的编号

记者在现场了解到,上午开始进行的东昌中学录取工作全部由随机派位完成。

东昌中学本校随机派位工作,于7月12日上午8:30开始,进行随机派位的依次为东昌总校区、东昌东校区和新校区。

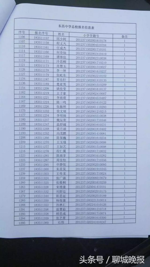
东昌中学总校区,报名考生2187人,计划招收800人,随机派位60%、共计480人,自主招生40%、共计320人。

东昌中学东校区,报名考生3005人,计划招收400人,随机派位60%、共计240人,自主招生40%、共计160人。

东昌中学新校区,报名考生1371人,计划招收400人,随机派位60%、共计240人,自主招生40%、共计160人。

东昌中学今年招生计划全部实行随机派位,随机派位工作持续到下午三四点钟完成。现场从6600多名学生中抽签产生1600个名额,整个过程历时7个多小时。

东昌中学随机派位工作由学校和20位学生家长代表共同参与,公证处工作人员全程公证。随机派位录取名单现场打印,并第一时间在网上进行了公布。

东昌中学总校区60%录取信息名单聊城东昌完全中学网站(聊城东昌中学本校搬迁)

聊城东昌完全中学网站(聊城东昌中学本校搬迁)

聊城东昌完全中学网站(聊城东昌中学本校搬迁)

聊城东昌完全中学网站(聊城东昌中学本校搬迁)

聊城东昌完全中学网站(聊城东昌中学本校搬迁)

聊城东昌完全中学网站(聊城东昌中学本校搬迁)

聊城东昌完全中学网站(聊城东昌中学本校搬迁)

聊城东昌完全中学网站(聊城东昌中学本校搬迁)

聊城东昌完全中学网站(聊城东昌中学本校搬迁)

聊城东昌完全中学网站(聊城东昌中学本校搬迁)

聊城东昌完全中学网站(聊城东昌中学本校搬迁)

聊城东昌完全中学网站(聊城东昌中学本校搬迁)

总校区40%随机派位录取名单聊城东昌完全中学网站(聊城东昌中学本校搬迁)

聊城东昌完全中学网站(聊城东昌中学本校搬迁)

聊城东昌完全中学网站(聊城东昌中学本校搬迁)

聊城东昌完全中学网站(聊城东昌中学本校搬迁)

聊城东昌完全中学网站(聊城东昌中学本校搬迁)

聊城东昌完全中学网站(聊城东昌中学本校搬迁)

聊城东昌完全中学网站(聊城东昌中学本校搬迁)

聊城东昌完全中学网站(聊城东昌中学本校搬迁)

聊城东昌完全中学网站(聊城东昌中学本校搬迁)

聊城东昌完全中学网站(聊城东昌中学本校搬迁)

聊城东昌完全中学网站(聊城东昌中学本校搬迁)

聊城东昌完全中学网站(聊城东昌中学本校搬迁)

聊城东昌完全中学网站(聊城东昌中学本校搬迁)

聊城东昌完全中学网站(聊城东昌中学本校搬迁)

东校区60%随机派位录取名单聊城东昌完全中学网站(聊城东昌中学本校搬迁)

聊城东昌完全中学网站(聊城东昌中学本校搬迁)

聊城东昌完全中学网站(聊城东昌中学本校搬迁)

聊城东昌完全中学网站(聊城东昌中学本校搬迁)

聊城东昌完全中学网站(聊城东昌中学本校搬迁)

聊城东昌完全中学网站(聊城东昌中学本校搬迁)

东校区40%随机派位录取名单聊城东昌完全中学网站(聊城东昌中学本校搬迁)

聊城东昌完全中学网站(聊城东昌中学本校搬迁)

聊城东昌完全中学网站(聊城东昌中学本校搬迁)

聊城东昌完全中学网站(聊城东昌中学本校搬迁)

聊城东昌完全中学网站(聊城东昌中学本校搬迁)

聊城东昌完全中学网站(聊城东昌中学本校搬迁)

聊城东昌完全中学网站(聊城东昌中学本校搬迁)

东昌中学新校60%随机派位录取名单聊城东昌完全中学网站(聊城东昌中学本校搬迁)

聊城东昌完全中学网站(聊城东昌中学本校搬迁)

聊城东昌完全中学网站(聊城东昌中学本校搬迁)

聊城东昌完全中学网站(聊城东昌中学本校搬迁)

聊城东昌完全中学网站(聊城东昌中学本校搬迁)

聊城东昌完全中学网站(聊城东昌中学本校搬迁)

聊城东昌完全中学网站(聊城东昌中学本校搬迁)

聊城东昌完全中学网站(聊城东昌中学本校搬迁)

新校区40%随机派位录取名单聊城东昌完全中学网站(聊城东昌中学本校搬迁)

聊城东昌完全中学网站(聊城东昌中学本校搬迁)

聊城东昌完全中学网站(聊城东昌中学本校搬迁)

聊城东昌完全中学网站(聊城东昌中学本校搬迁)

聊城东昌完全中学网站(聊城东昌中学本校搬迁)

聊城东昌完全中学网站(聊城东昌中学本校搬迁)

聊城东昌完全中学网站(聊城东昌中学本校搬迁)